|
 |
Differentiaalrekening (3) |
 |
 |
naar deel 1
naar deel 2
naar deel 4
In dit deel 3 enkele toepassingen van de differentiaalrekening.
Maximale oppervlakte
Zie figuur.
Binnen een halve cirkel wordt een rechthoek ingepast.
Voor welke x is de oppervlakte van die rechthoek maximaal?

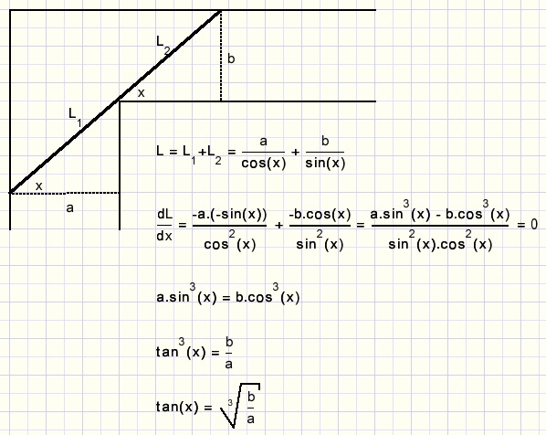
Gaat het er door?
Zie figuur.
Een meubelplaat met lengte L moet door een gang worden verplaatst.
Gaat de plaat door de bocht?
We berekenen de minimum lengte L van de doorgang bij verschillende hoeken x.

Hiermee is de hoek (x) bekend en kan L (= L1 + L2) worden berekend.
Heeft de plaat een kleinere lengte dan lukt de verhuizing.
Opmerking: uit de aard van het probleem volgt dat we een minimum hebben.
Maximale inhoud
Uit een rechthoekig stuk karton worden vierkantjes geknipt waarna het karton wordt opgevouwen
tot een doos zonder deksel.
Voor welke waarde van x is de inhoud maximaal?

Het optimale blik kattenvoer
Welke afmetingen moet een cilindervormig blik hebben voor maximale inhoud per oppervlakte blik?
Het gaat om de verhouding diameter : hoogte.
Laten we uitgaan van een inhoud 1, blikopppervlakte B, een straal r en hoogte h.

Bij maximale inhoud per hoeveelheid blik zijn hoogte en diameter gelijk.
De luchtdruk
Op zeeniveau is de luchtdruk ongeveer 1kg/cm2.
Per m3 is de druk 104kg.
Een kubieke meter lucht weegt op zeeniveau 1,2kg.
De lucht wordt samengedrukt door de luchtkolom die erboven staat.
Hoe verloopt die luchtdruk?
Welke functie geeft de luchtdruk bij een bepaalde hoogte?
Een m3 lucht van druk D heeft dus een gewicht van 1,2.10-4D kg
We verdelen een luchtkolom van 1m2 in stukjes Δh en in zo'n stukje
veronderstellen we constante druk.
In de functie D(h) herkennen we een exponentiële functie.

|
|